.

Udarbejdet af arbejdsgruppe under DASAIM:
Overlæge Joakim Cordtz, Intensiv afd., Holbæk Sygehus
Overlæge Jens Michelsen, ITA, Odense Universitetshospital
Overlæge Jørgen Wiis, 4131 Rigshospitalet
Opdateret december 2023
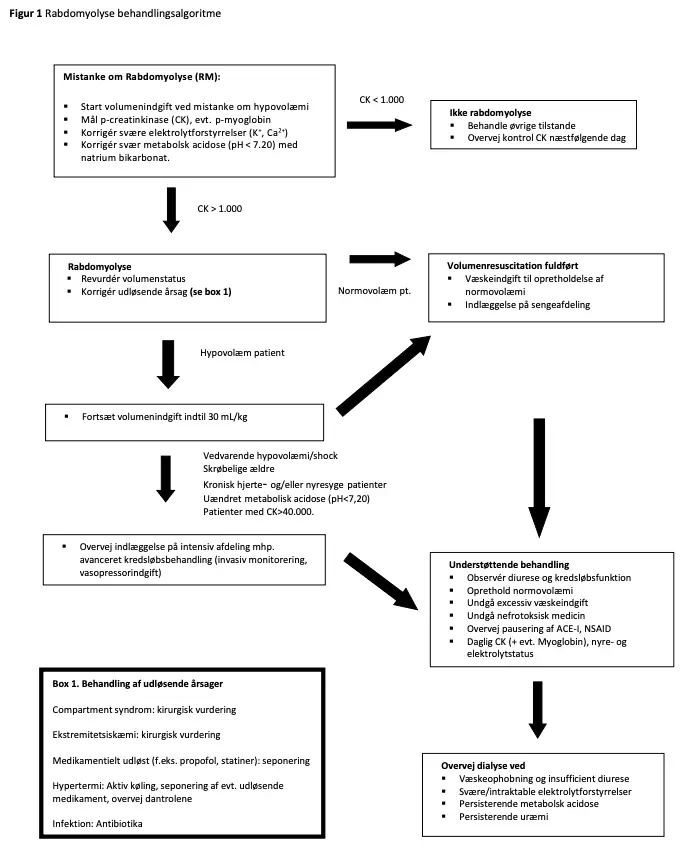
Figur 1: Flowchart

Generelt om behandlingen
RM forårsager, særlig ved udbredt vævsskade, udsiven af plasma i det beskadigede væv, frigivelse af elektrolytter
fra henfaldne muskelceller, og et systemisk inflammatorisk respons (SIRS). Der er ikke evidens for at behandle eller
forebygge det renale svigt ved RM anderledes end ved andre tilstande med prærenalt svigt; behandlingen retter
sig således mod korrektion af udløsende årsag, retablering af normovolæmi og korrektion af livstruende
elektrolytforstyrrelser. Patienter med CK<40.000 udvikler sjældent dialysekrævende nyresvigt. CK er den markør
der primært anvendes i litteraturen til at definere RM, mens myoglobin er det molekyle, der er involveret i
patogenesen til AKI. Myoglobins hurtigere kinetik kan være en fordel i monitoreringen af sygdomsaktivitet og
effekten af behandling.
Tidligere behandlingsanbefalinger har rettet sig mod at maksimere renalt urinflow for at nedsætte transittiden og
øge udskillelsen af myoglobin, men der foreligger ingen kliniske data, der understøtter denne tilgang.
Væskebehandling
Målet er tidlig retablering af normovolæmi og adækvat kredsløbsfunktion. Der er ikke evidens for konkrete
anbefalinger vedrørende indgiftshastighed og -mængde, hvorfor anbefalinger for sammenlignelige patienter er
anvendt i denne algoritme. Det anbefales at retablere normovolæmi hurtigst muligt under hensyntagen til
patientens øvrige helbredsstatus (alder og hjertefunktion).
Vurdering af volumenstatus adskiller sig ikke fra andre patientkategorier, men omfatter objektiv undersøgelse
inklusiv ultralyd samt anamnese om væsketab (blødning, diarre eller opkastninger) eller nedsat væskeindtag.
Hypotension eller oliguri er ikke nødvendigvis tegn på hypovolæmi.
Data fra kritisk syge patienter tyder på en øget risiko for nyresvigt ved brug af syntetiske kolloider, hvorfor
krystalloid anbefales anvendt.
Diurese
Der er ikke evidens for at anbefale et specifikt mål for diuresen. En pragmatisk tilgang er at anse timediurese på 0,5
mL/kg/t som markør for adækvat kredsløbs- og nyrefunktion.
Der er ikke evidens for at anbefale forcerede diuresevolumina ved hjælp af excessiv væskeindgift eller diuretika.
Der er ikke evidens for at anbefale alkalinisering af urinen med eks. mannitol eller diamox.
Understøttende behandling
Elektrolyt- og syre-/baseforstyrrelser behandles efter gængse principper. Hypokalkæmi vil oftest være forårsaget
af udfældning med fosfat frigivet fra henfaldne muskelceller, og behandling heraf vil blot accelerere udfældningen;
behandling bør derfor reserveres symptomatiske tilfælde. Antioxidantterapi har ingen plads i behandlingen.
Der er ikke vist en nefroprotektiv virkning af dialyse eller hæmofiltration ved RM, hvorfor indikationerne herfor
følger gængse retningslinjer.
Korrektion af udløsende årsag
▪ Kirurgi ved mistænkt iskæmi eller compartment syndrom
▪ Sanering af evt. udløsende infektion inkl. antibiotisk behandling
▪ Seponering af evt. udløsende medikamina (statiner, propofol)
▪ Kontrol af evt. hypertermi
▪ Sedation ved svær agitation
Logistiske overvejelser, intensiv indlæggelse
Væskebehandling til normovolæmi kan foregå i akutmodtagelsen eller på stationær afdeling og kræver ikke
umiddelbart indlæggelse på intensiv. Er patienten fortsat hypovolæm og oligurisk efter volumenindgift på 30 ml/kg
vurderes tværfagligt, om patienten kan tåle yderligere væsketerapi uden udvidet hæmodynamisk overvågning på
intensiv. Indlæggelse på intensiv efter primære væskebehandling bør overvejes hos skrøbelige ældre, kronisk
hjerte- og/eller nyresyge patienter, uændret metabolisk acidose (pH<7,20) eller patienter med CK>40.000, men
beror til fulde på intensivlægens konkrete vurdering.
Referencer
Michelsen J, Cordtz J, Liboriussen L, Behzadi MT, Ibsen M, Damholt MB, Møller MH, Wiis J. Prevention of rhabdomyolysis -induced acute kidney injury – A DASAIM/DSIT
clinical practice guideline. Acta Anaesthesiol Scand. 2019 Jan 15.
Dansk Selskab for Infektionsmedicin. Rekommandationer for initial behandling af sepsis og septisk shock (Sepsis-3). Rev. 0112 2017.
Kim HW, Kim S, Ohn JH, Kim NH, Lee J, Kim ES, Lim Y, Cho JH, Park HS, Ryu J, Kim SW. Role of bicarbonate and volume therapy i n the prevention of acute kidney injury in
rhabdomyolysis: a retrospective propensity score-matched cohort study. Kidney Res Clin Pract. 2022 May;41(3):310-321.
Sawhney JS, Kasotakis G, Goldenberg A, Abramson S, Dodgion C, Patel N, Khan M, Como JJ. Management of rhabdomyolysis: A practice management guideline from the
Eastern Association for the Surgery of Trauma. Am J Surg. 2022 Jul;224(1 Pt A):196-204.